ISSN 1004-4140
    CN 11-3017/P

    基于卷积神经网络和注意力机制的深度学习非小细胞肺癌计算机辅助诊断模型

    Deep Learning Computer-aided Diagnostic Model for Non-small Cell Lung Cancer Based on Convolutional Neural Network and Attention Mechanism

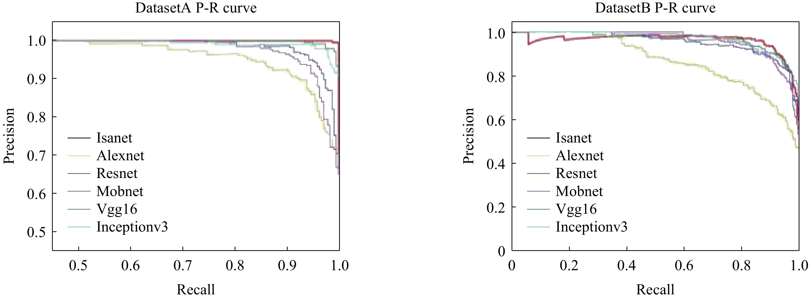
    • 摘要: 目的:构建基于卷积神经网络(CNN)和注意力机制的改进CNN模型(ISANET),评估模型的性能,并与传统CNN模型进行比较。方法:收集经手术病理证实的肺鳞癌(LUSC)或肺腺癌(LUAD)患者60例以及肺部正常患者30例的肺部CT平扫或增强图像共619张,组成DatasetA;收集公共数据集图像共737张,组成DatasetB。两数据集均按6∶4将随机分为训练集和测试集。构建ISANET模型并进行训练和验证,然后记录查准率、召回率,并计算出F1分数,用以评价ISANAT模型的效能。最后,将ISANET模型与传统CNN模型AlexNet,VGG 16,Inception V3,Mobilenet V2,ResNet 18进行对比,绘制P-R(P-R)曲线,计算出P-R曲线下面积,并评估不同模型对肺鳞癌和肺腺癌的鉴别效能。结果:相较于传统CNN模型,ISANET模型对非小细胞肺癌分类的准确度明显提高,在DatasetA和DatasetB中分别为99.6%和95.2%。结论:ISANET模型较好地实现了对肺鳞癌和肺腺癌的无创预测,提高了肺鳞癌和肺腺癌CT影像鉴别的准确度,能够帮助诊断医师对非小细胞肺癌进行快速准确的分类。

       

      Abstract: Objective: To construct an improved deep learning computer-aided diagnosis model based on convolutional neural network (CNN) and Attention Mechanism proposed as Inception Spatial and Channel Attention Network (ISANET) and evaluate the model's performance, comparing it with the traditional CNN model. Methods: A total of 619 lung CT images of 60 patients with lung squamous cell carcinoma or lung adenocarcinoma confirmed by surgical pathology and 30 patients with normal lungs were collected retrospectively to form Dataset A; a total of 737 public dataset images were collected to form Dataset B. The two datasets were randomly divided into training and test sets at a 6:4 ratio. Construct the ISANET model and conduct training and verification, then record the precision ratio and recall ratio to calculate the F1 score and evaluate the performance of the ISANAT model. Finally, the ISANET model was compared with the traditional CNN models such as AlexNet, VGG16, InceptionV3, MobilenetV2, and ResNet18 by drawing the Precision-Recall (P-R) curve and calculating the area under the P-R curve to evaluate the classification performance of different models for LUSC and LUAD. Results: Compared with the traditional CNN model, the accuracy of the ISANET model for non-small cell lung cancer classification improved significantly, reaching 99.6% and 95.2% in Dataset A and Dataset B, respectively. Conclusions: The ISANET model provides better non-invasive prediction of LUSC and LUAD, improves the accuracy of CT imaging identification of lung squamous cell carcinoma and lung adenocarcinoma, and can help diagnosticians quickly and accurately classify non-small cell lung cancer.

       

    /

    返回文章
    返回